Contacte-nos - 210996971 - info@ibdciencia.pt
Observamos as ondas estacionárias longitudinaIs nas molas
OBJETIVO DA EXPERIÊNCIA
O principal objetivo desta atividade consiste em produzir ondas estacionárias longitudinais em molas para su observação e posterior comparação com as ondas estacionárias transversais.

MATERIAIS NECESSÁRIOS
FUNDAMENTOS TEÓRICOS
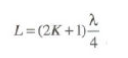
Se temos um medio elástico submetido a uma vibração de ondas estacionária longitudinais estabelecer-se-á uma sucessão de ventres e nós. Sabendo que entre um nó e um nó haverá iJ2, e entre ventre e nó iJ4. Se um dos extremos está fixo tem que formar-se um nó nele, já que as partículas do meio por estarem solidárias com ele não podem vibrar. O comprimento total do meio será:

INSTRUÇÕES PARA REALIZAR A EXPERIÊNCIA
Caso 1
Realizar uma montagem como indica a figura para obter nós e ventres numa mola com um extremo fixo (ver detalhe 1). Dar a tensão necessária para que coincida a frequência própria da mola com a frequência da rede. Observar a disposição dos nós e ventres no extremo inferior para obter a máxima amplitude de vibração da mola.

Caso 2
Repetir a experiência segurando o extremo inferior como se vê no pormenor 2, e assim obter-se-á uma mola com um extremo livre. Recomenda-se como fita elástica um simples elástico dos que se usam em papelaria. Dar a tensão necessária para que apareçam ventres e nós. Observar neste caso os nós e os ventres no extremo livre (inferior) e comparar com o caso 1.
CONSEQUÊNCIAS E SUGESTÕES
As espiras dos nós encontram-se em repouso como pode demonstrar-se segurando uma delas com os dedos.
VIDEO DA EXPERIÊNCIA
Leave a Comment
Leave a Reply
Por favor, fIniciar sessão para publicar um comentário.